Veranstaltungsort für Tagungen, Seminare, Produktpräsentationen oder Pressekonferenzen.
Informationen für private und gewerbliche Bauherrinnen und Bauherren, Städte und Kommunen.
Seit dem 1. Januar 2022 gilt in der Landesbauordnung Baden-Württembergs der digitale Bauantrag als Standard. Ab dem 1. Januar 2023 verpflichtet das Online-Zugangsgesetz bundesweit die Kommunen dazu, die Bauantragsstellung als digitale Verwaltungsleistung anzubieten. Eine Erhebung der Architektenkammer Baden-Württemberg aus diesem Sommer zeigt, dass ein Großteil der baden-württembergischen Kommunen weit von einer funktionierenden digitalen Antragsstellung entfernt ist – schlicht, weil geeignete Rahmenbedingungen fehlen.
„Die Lage in den Kommunen ist sehr unübersichtlich“, sagt die langjährige Vize-Präsidentin der AKBW und Baubürgermeisterin Fellbachs Beatrice Soltys. „Die meisten Kommunen warten auf eine funktionierende Plattformlösung des Landes mit standardisierten Vorgängen. Bisher treten noch zu viele Probleme auf. Das beginnt bei der Ausstattung der Ämter und hört bei technischer Unzuverlässigkeit auf.“ Die Umfrage, an der 65 Kommunen und 176 Planerinnen und Planer teilnahmen, bestätigt diesen Eindruck.
Mehr als ein Drittel der befragten Kommunen boten zum Zeitpunkt der Befragung keine digitale Bauantragsstellung an. 40 Prozent ermöglichten zwar eine digitale Einreichung, drucken die Dokumente aber anschließend aus. Nur 26,15 Prozent bearbeiten einen digital eingereichten Antrag auch digital weiter. Wenig überraschend gab etwa die Hälfte der Planerinnen und Planer an, dass sie bei ihren Projekten keine Möglichkeit der digitalen Bauantragsstellung hatten.
Die Kommunen, die den digitalen Antrag ermöglichen, fällen ein insgesamt eher schlechtes Urteil. Die Antragsstellerinnen und Antragssteller teilen diese Meinung, kommen aber zu einer marginal besseren Bewertung. Die größten Probleme liegen nach Ansicht der Baurechtsbehörden in der hohen Fehleranfälligkeit von digitalen Bauanträgen – eigentlich ein Thema, bei dem die Digitalisierung Besserung verspricht – sowie bei der Nutzungsfreundlichkeit. Die Kommunen sind nicht der Meinung, dass die digitale Antragsstellung das Verfahren vereinfacht und bewerten die technische Zuverlässigkeit der Plattformen schlecht. Planerinnen und Planer kritisieren vor allem mangelhaften (technischen) Support bei der digitalen Bauantragsstellung sowie fehlende Transparenz des Verfahrens – dies sollte durch die Digitalisierung ebenfalls verbessert werden.
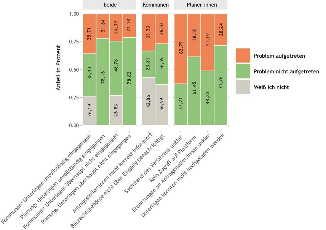
Diese Einschätzungen erklären sich durch konkret aufgetretene Probleme bei der Bearbeitung und Antragsstellung. Mehr als ein Drittel der Kommunen gibt an, dass die eingereichten Unterlagen unvollständig, mehr als ein Fünftel gar, dass Unterlagen überhaupt nicht ankamen. Planerinnen und Planer berichten von ähnlichen Erfahrungen, beispielsweise im Hinblick auf unzuverlässigen Zugriff auf Plattformen. Zusätzlich würden weder Behörden noch Einreichende korrekt benachrichtigt. Entsprechend häufig werden fehlende Kenntnis zum aktuellen Sachstand oder Informationen zur Richtig- und Vollständigkeit der eingereichten Unterlagen berichtet. Neben diesen Problemen weisen zwei Befragte auf sicherheitsrelevante Bedenken hin. In beiden Fällen wurden Pläne von Unbefugten unter ihrer Mitgliedsnummer eingereicht. Zwar ist im Portal service-bw eine Prüfung der Planvorlageberechtigung über die Mitgliedsnummer der Architektenkammer implementiert, sie scheint aber nicht zuverlässig zu funktionieren. Die digitale Bauantragsstellung ist demnach oft von massiven technischen Unzulänglichkeiten behaftet.
Die Ursachen für diese heterogenen Probleme sind vielfältig wie offensichtlich. Ein Großteil der Kommunen, die den digitalen Bauantrag noch nicht anbieten, nennt fehlende technische Ausstattung oder fehlendes Personal als Grund. Aus Sicht der Planerinnen und Planer rühren die Komplexitäten daher, dass beinahe jede Baurechtsbehörde eine eigene technische Lösung bereitstellt sowie eigene Anforderungen an den Antrag hat. Das betrifft unter anderem die Vorgaben hinsichtlich der Formate von Dokumenten und der Vollständigkeit des Antrags sowie die (digitalen) Prozesse und Datenstrukturen.
Viele Probleme können – neben einer besseren Ausstattung der Kommunen – durch einen konsistenten, sicheren und digitalen Workflow bei der Bauantragsstellung gelöst werden. Hierzu muss vor den Digitalisierungsbestrebungen zunächst das Bauantragsverfahren als solches landesweit einheitlicher und strukturierter ausgestaltet werden. Es muss klar definiert sein, welche Verwaltungsakte in der Baugenehmigung und welche zur Baufreigabe bearbeitet werden. Die digitalen Plattformen müssen sicher authentifizieren, intuitiv durch den Antragsprozess führen, eine klare Supportstruktur haben und transparent sein. Dies wird am ehesten erreicht, wenn das Antragsverfahren digital gedacht wird. Die eins-zu-eins Übertragung des bisherigen analogen Verfahrens würde dem nicht gerecht. Sinnvoll wäre eine einheitliche Plattform mit einheitlichen Vorgaben im gesamten Land. Dadurch entstünden Synergien sowie ausreichend Wiederholungen in der Nutzung, um die Fehleranfälligkeit auf Seiten aller Beteiligter zu minimieren.
Der komplette Datenbericht mit Positionierung der Architektenkammer
Die Ergebnisse kurz als AKBW one pager dargestellt